Disease Free Survival and Overall Survival in Triple-Negative Breast Cancer Patients with Post-Neoadjuvant Residual Disease Treated with Adjuvant Capecitabine Capecitabine in breast cancer

Article / Artículo

https://doi.org/10.33821/745



Abstract

Background:

The scarcity of effective therapies has contributed to poor outcomes in triple-negative breast cancer.

Objective:

To evaluate overall and progression-free survival in patients with triple-negative breast cancer with post-neoadjuvant residual disease, treated with Capecitabine.

Methods:

Retrospective cohort study. Kaplan-Meier survival functions were calculated. Additionally, Cox regression models were developed for association analysis.

Results:

Forty-one patients were included, of whom 25 (61%) were postmenopausal, 23 (56.1%) had initial tumors ≥5.1cm. The median PFS was 25.03 months (95% CI, 13.37 - 36.68). Twenty six percent of patients had progression at 36 months follow-up, 54.5% of those who had progression were premenopausal. In women with postmenopausal status, higher PFS was observed (HR0.32, 95% CI 0.09 -0.98, p 0.045). The median OS was 55.60 months (95% CI, 46.5-58.5). There was no significant difference between the RCB (Residual Cancer Burden) score and PFS and OS.

Conclusion:

favorable results were observed in patients with post-neoadjuvant residual disease treated with adjuvant Capecitabine, particularly in postmenopausal patients with less previous tumor size.

Keywords:

Triple-negative breast cancer, Capecitabine, ARB, residual disease, disease free survival, overall survival



1. Introduction

Breast cancer is the most common cancer and specific cause of death among women living in Latin America and Caribbean region with 200,000 new cases and more than 52,000 deaths per year (1). It is also located in the first place of incidence for Colombia with 15,509 cases and a mortality of 4,411 cases by 2020 (2). Among all new cases of breast cancer, triple negative breast cancer (TNBC) occurs at a frequency from 15% to 20% (3).

The high heterogeneity, aggressiveness and absence of a receptor that acts as a target for the development of new drugs explain the fact that CMNT is the subtype with the least favorable clinical results and with the smallest number of effective therapeutic options (3).

Although some inhibitors have proven to be effective in the neoadjuvant phase, their high price and not very good cost-effectiveness mean that from the perspective of payers, these inhibitors at their current price will probably not be the choice for patients with TNBC (4). This is why chemotherapy continues to be the cornerstone of treatment, both neoadjuvant and adjuvant. In the neoadjuvant setting, chemotherapy is typically administered with the goal of shrinking the tumor and potentially achieving a better surgical outcome, as well as evaluating the patient's prognosis (5). Currently, the standard chemotherapy for the treatment of TNBC is represented by the sequence of taxanes (docetaxel/paclitaxel) and anthracycline (6-10).

However, even though the chemotherapy regimen is effective, the 10-year risk of relapse of TNBC ranges between 20 and - 40% (11); therefore, it is necessary to explore the role of new chemotherapy agents and regimens to obtain important benefits in the survival of these patients.

Capecitabine is a nucleoside analogue -commonly used in patients with metastatic breast cancer -whose role in the treatment of TNBC has aroused special interest (11,12).

Several studies have analyzed the role of Capecitabine in the treatment of TNBC and obtained heterogeneous results. The CREATE-X study evaluated the role of Capecitabine in relation to DFS in patients with triple negative disease, the DFS rate was 69.8% in the Capecitabine group versus 56.1% in the control group (HR 0 .58; 95% CI, 0.39 to 0.87), and the OS rate was 78.8% versus 70.3% (hazard ratio for death, 0.52; 95% CI, 0.30 to 0.90) (13). The GEICAM/2003-11-CIBOMA/2004-01 study explored adjuvant Capecitabine after standard chemotherapy in patients with early TNBC, but this study failed to show a statistically significant increase in DFS when adding Capecitabine to standard chemotherapy in patients with early TNBC (14).

Considering the contradictory results and the absence of data from Latin American populations on the effect of neoadjuvant Capecitabine in patients with TNBC, it is necessary to provide new evidence that allows drawing conclusions and individualizing treatment options for these patients.

The primary objective of this study was to evaluate the progression-free survival (PFS) of patients with stage I-III triple-negative breast cancer with postneoadjuvant residual disease, treated with Capecitabine, in an oncology reference center in the city of Medellín. As a secondary objective, overall survival (OS) was evaluated in these patients.

2. Materials and methods

The protocol of this study was approved by the institutional ethics committee for research in human beings of the CES University (cod. Acta211Proy973) and by Fundación Colombiana de Cancerología Clínica Vida (FCCCV). Since this is a retrospective study, without any intervention in the care of the patients, the informed consent used for research studies at the institution was not required. Patient data were guaranteed to be submitted anonymously and confidentially. The reporting of results follows the recommendations of the STROBE guideline (15).

2.1. Design and context

Observational follow-up study of a cohort from April 15, 2018 to April 27, 2023, until death or administrative censorship, based on records taken from the database of the Fundación Colombiana de Cancerología Clínica Vida (FCCCV) of Medellín between 2019 and 2023. Data collection was carried out from February 15, 2023 to May 18, 2023; mortality of all patients was evaluated on June 6, 2023 on the Adres platform (16). The Administrator of the Resources of the General Social Security Health System (ADRES by its Spanish acronym) is the State entity in which the population's records are located, including their date of death.

2.2. Participants

From the information provided by the FCCCV, a total of 144 records of patients who were prescribed Capecitabine at the institution were reviewed. Patients were included in the study if they met the following criteria: women over 18 years of age, with triple negative breast cancer, stage I-III, with residual disease after neoadjuvant chemotherapy, and who received Capecitabine as adjuvant monotherapy. The exclusion criteria were bilateral breast cancer, multiple synchronous cancers, previous treatment with oral Fluoracil, pregnant and lactating patients. Patients whose records had more than 10% of missing data were also excluded.

2.3. Triple negative breast cancer

The triple negative subtype was defined as hormone receptor negativity by immunohistochemistry and Her2 negative by immunohistochemistry (Her2 0 or 1+) or FISH (in situ hybridization) test in cases of equivocal Her2 (2+).

2.4. Variables

The primary outcome variable was OS, which was calculated from the time of treatment initiation to the last follow-up or time of death from any cause. PFS was a secondary outcome variable that was calculated from the time of treatment initiation until progression was documented or to the last follow-up without evidence of progression. The initial characteristics of the patients were considered; age, menopausal status, tumor size, axillary lymph node involvement, neoadjuvant chemotherapy regimen received, surgery performed, as well as characteristics of residual disease focused on Residual Tumor Burden (RCB).

2.5. Data sources

The FCCCV IT team was asked for the list of patients admitted between 2019 to 2023 for TNBC, treated with adjuvant Capecitabine, subsequently a review of the medical history of each patient was carried out to determine who met the inclusion criteria and thus obtain the data of interest for the study.

To determine the diagnosis, the date of the first histopathological study was taken. For progression, the date of the first imaging study that showed locoregional or distant change was recorded. Finally, the cut-off date to evaluate survival was June 6, 2023, for all patients by checking their activity status on the Adres platform (16).

2.6. Bias control

Data collection was carried out by a researcher who verified in each clinical record that the inclusion requirements were met and entered them in the corresponding Excel template where each variable of interest was stipulated. In case of doubt about any variable record, it was consulted with expert researchers in the area (mastologist, oncologist or epidemiologist).

The clinical record was initially reviewed, if it lacked information or was incomplete, the mastology evaluations were verified and in cases in which none was available, the data were extracted from the notes of the other specialties related to breast care of the patient due to their oncological condition (pain and palliative care or oncological rehabilitation).

2.7. Statistical methods

A univariate analysis was performed to characterize the study population considering the nature of the variables. In the case of quantitative variables, the Kolmogorov-Smirnov normality test was performed to define whether they presented averages or medians. Qualitative variables were analyzed using absolute and relative frequencies. Median survival was calculated using the Kaplan Meier curve.

For the bivariate analysis, differences in survival according to covariates were calculated by the log Rank test.

A multivariate analysis was performed through the association between covariates and time to event using COX regression. A p value less than 0.05 was considered statistically significant. All analyzes were performed in SPSS version 25.

3. Results

3.1. Participants

A total of 41 patients met the inclusion criteria. With a median age of 55 (44.5-65.5) years old. Of them, 25 (61%) were postmenopausal and only 16 (39%) were premenopausal. The most common histological subtype was invasive ductal carcinoma in 39 people (95.1%). T4b was the most common staging of the patients in 14 (36.6%). The initial descriptive data of the patients are presented in Table 1.

Table 1

Baseline characteristics of patients with triple-negative breast cancer with postneoadjuvant residual disease

Characteristics N (%)
Age
Median (Interquartile Range) 55(44.5-65.5)
Menopausal status
Premenopausal 16 (39)
Postmenopausal 25 (61)
Tumor histology
Ductal 39 (95.1)
Lobular 1 (2.4)
Other 1 (2.4)
Tumor size at diagnosis
≤2cm 2 (4.8)
2.1-5cm 16 (39)
≥5.1cm 23 (56.1)
Prior t
T2 11 (26.8)
T3 14 (34.1)
T4b 15 (36.6)
T4c 1 (2.4)
Histological grade
1 1 (2.4)
2 10 (24.4)
3 30 (76.2)
Ki67, Median (Interquartile Range) 60 (40-80)
Focality
Unifocal 38 (92.7)
Multifocal 2 (4.9)
Multicentric 1 (2.4)
Lymph node involvement
No 9 (31)
Yes 32 (78)
Neoadjuvant received
Anthracyclics + Taxanes 36 (87.8)
Taxanes 1 (2.4)
Docetaxel + cyclophosphamide 1 (2.4)
Taxanes and platinum 3 (7.3)
Surgery on breast
Conservative surgery 13 (31.7)
Mastectomy 28 (68.2)
Axillary surgery performed
BGC 7 (17.1)
BGC + VA 1 (2.1)
GOES 27 (65.9)
Without axillary surgery 6 (14.6)
Adjuvant radiotherapy 40 (97.6)

[i]T; tumor size (TNM), BGC; sentinel lymph node biopsy, VA; axillary emptying.

3.2. Response to neoadjuvant chemotherapy and Capecitabine

In 70% of cases, chemotherapy management consisted of the use of doxorubicin (60 mg/m2) plus cyclophosphamide (600 mg/m2) every 21 days with support of granulocyte colony-stimulating factors in each cycle, followed by Paclitaxel (80 mg/m2) weekly for 12 weeks. Only 22% received a regimen with anthracyclines in dense doses (every 14 days) due to access barriers. The use of platinum in neoadjuvant treatment was carried out in 68% of cases in conjunction with paclitaxel.

The most common neoadjuvant chemotherapy regimen was anthracyclic plus taxanes in 36 patients (87.8%), the other regimen used in 3 patients (7.3%) was taxanes plus platinum, as described in Table 1.

In eight patients (19.5%), the pathology of the surgical specimen reported RCB 1, in 20 patients (48.8%) RCB 2, and only 13 (31.7%) reported RCB 3. Table 2 shows the characteristics of the patients after neoadjuvant treatment.

Table 2

Response to neoadjuvant chemotherapy in patients with triple-negative breast cancer with post-neoadjuvant residual disease

Characteristics N (%)
RCB
1 8 (19.5)
2 20 (48.8)
3 13 (31.7)
Residual tumor size (mm)
Median (Interquartile Range) 23 (10-36)
ypt
ypT0 1 (2,4)
ypT1a-ypT4c 40 (97.6)
Positive lymph nodes
0 23 (56.1)
1-3 12 (29.3)
≥4 6 (16.6)
Nodal metastasis size (mm), median (IQR) 2.63 (0-3)
Tumor bed size (mm), median (IQR) 23 (11.50-38.50)
Postneoadjuvant cellularity (%), median (IQR) 50 (12.50-65)
Residual DCIS (%), median (IQR) 1 (0-20)
Progression
No 30 (76.2)
Yes 11 (26.8)
Progression site
Regional 2 (18.1)
Loco-regional 2 (18.1)
Distance 7 (63.6)
Remote progression site
CNS 1 (2,4)
Lungs 2 (4.9)
Ganglion 2 (4.9)
Bones 2 (4.9)
Death
No 37 (90.2)
Yes 4 (9.8)

[i]RCB: Residual Cancer Burden; ypT: postneoadjuvant residual tumor size; DCIS: ductal carcinoma in situ; CNS: central nervous system

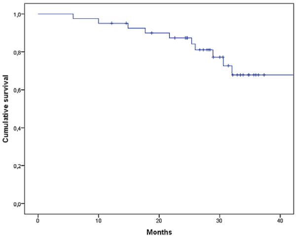
3.3. Progression-Free Survival

Median PFS was 25.03 months (95% CI, 13.37 - 36.68), see Figure 1. Eleven patients (26.8%) presented disease progression after starting adjuvant treatment with Capecitabine. Among the total of patients who presented progression, distant progression was documented in seven patients (63.6%), regional progression in 2 (18.1%), and loco-regional progression in 2 (18.1%), as described in Table 2. The most frequent distant progression was lymph node progression in 2 patients (2.9%), followed by metastasis to the lung and bones, both groups with the same representation of 2 patients (4.9%). Among the patients with progression, four died from this cause. When performing the multivariate analysis (Table 3), the statistically significant characteristics associated with patients who received adjuvant Capecitabine were postmenopausal status as a protective factor for progression (HR0.32, 95% CI 0.09 -0.98, p 0.045), and a larger previous size presented a greater risk of disease progression over time (HR1.69, 95% CI, 1.02-2.81, p =0.041).

Figure 1

Progression-free survival in triple-negative breast cancer patients with postneoadjuvant residual disease who received adjuvant Capecitabine

2661-6653-onco-34-02-74-gf1.png

Table 3

Factors associated with time to progression in patients treated with Capecitabine

Variable Univariate Multivariate
RH 95%(CI) p value RH 95%(CI) p value
Age 0.97 (0.93-1.01) 0.162
Menopause 0.32 (0.09-0.98) 0.045
Ki67 0.98 (0.95-1.01) 0.347
Prior t 1.69 (1.02-2.81) 0.041 1.69 (1.02-2.81) 0.041
Previous lymph node involvement 3.02 (0.38-23.94) 0.294
Breast surgery (mastectomy/conservative) 0.77 (0.23-2.56) 0.681
Affected lymph nodes
0 ref 0.039
1 to 3 1.63 (0.36-7.38
4 3.85 (1.10-13.39)
Size of the largest lymph node 1.04 (0.98-1.12) 0.158
RCB
1 ref 0.208
2 0.47 (0.06-3.42)
3 1.95 (0.39-9.72)
Focality
Multifocal or multicentric/unifocal 0.04 (0.01-9.70) 0.854
NACT
(Taxanes + platinum /Anthracyclines + taxanes) 2.76 (0.71-10.61) 0.139
YpT (ypT1a-ypT4c/Yp0) 2.13 (0.62-7.28) 0.228

[i]T; tumor size, BCR; Residual Cancer Burden, ypT; postneoadjuvant residual tumor size, NACT; neoadjuvant chemotherapy,

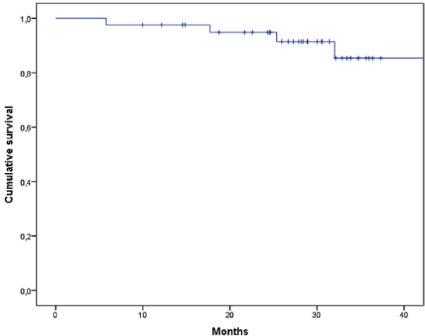
3.4. Overall survival

The mean OS was 50.37 months (95% CI, 45.3-55.5) (Figure 2). When performing the survival analysis by RCB, it was found that the mean OS was 51, 50, and 46 months for RCB 1, RCB 2, and RCB 3, respectively; this difference was not statistically significant (p = 0.614). according to the different neoadjuvant schemes or the type of surgery performed.

Figure 2

Overall survival in triple-negative breast cancer patients with postneoadjuvant residual disease who received adjuvant Capecitabine

2661-6653-onco-34-02-74-gf2.png

4. Discussion

In Colombia, there is no clear characterization -retrospective or prospective- of patients with post-neoadjuvant residual disease that evaluates the possible effect of Capecitabine on the OS of the affected people. Therefore, this protocol aimed to objectively and retrospectively evaluate the characteristics of this group of patients and their behavior regarding PFS and OS. Forty-one patients were analyzed, of which 26% presented disease progression at 36 months and, out of them, four died from this cause.

The patients in this study had a median age of 55 years (IQR 44.5-65.6), similar to the Create -82 years of the patients of GEICAM/2003-11_CIBOMA/2004-01 (14). When comparing our results with those studies mentioned above, we observed that the overall survival in them was 94% at 5 years in the group that received Capecitabine (13), which is higher when compared with our study, with an OS of 80.6% at 3 years. In the GEICAM/2003-11_CIBOMA/2004-01 study, the 5-year OS in the Capecitabine group was 86.2% (13), although these results are lower. Therefore, in future prospective studies in our population, it will be necessary to evaluate what unfavorable characteristics are present. One of these characteristics could be that in our study 35.5% were tumors that affected the skin and/or chest wall, in the Create 11 CIBOMA/2004-01 no specification of that characteristic is made. Regarding tumor size, 56.1% had tumors larger than 5 cm, while in Create, in the multivariate analysis, which indicates that our cohort represents a group of patients with more aggressive initial characteristics, and therefore their prognosis would be less favorable despite the use of adjuvant Capecitabine.

In our study, 54.5% of the patients who presented progression were premenopausal. This variable was not evaluated in Create (95% CI, 0.639 - 1.176).

One of the focuses of the study was to evaluate the impact of RCB in terms of prognosis; however, we did not find statistically significant differences in both PFS and OS among groups RCB 1, RCB 2, and RCB 3. When performing the survival analysis by RCB, it was found that the mean survival was 51, 50, and 46 months for RCB 1, RCB 2, and RCB 3, respectively, and this was not statistically significant p 0.614. The Create X and GEICAM/2003-11_CIBOMA/2004-01 studies did not evaluate these variables.

In the meta-analysis carried out by Yan Li and collaborators in 2019, the efficacy of Capecitabine as adjuvant chemotherapy for early-stage TNBC treated with taxane/anthracycline-based chemotherapy was evaluated. They found a significant increase in DFS with the addition of Capecitabine (hazard ratio [HR] = 0.77, 95% CI: 0.66-0.90); a significant improvement in DFS was observed in trials involving six to eight cycles of Capecitabine addition. Furthermore, in a meta-analysis of six trials, a significant increase in overall survival was detected in the Capecitabine group (HR=0.69, 95% CI: 0.56-0.85) (17).

In the neoadjuvant treatment of TNBC, anthracyclines such as doxorubicin and epirubicin are used in dense doses in combination with cyclophosphamide. This approach, known as dose-dense chemotherapy, involves giving anthracyclines at shorter intervals than usual, for instance, every two weeks instead of every three weeks. Dose-dense chemotherapy has been shown to improve pathologic complete response rates, increase disease-free survival, and overall survival compared with standard chemotherapy in some studies (18-22). However, in our study only 22% of patients received this regimen due to barriers to access. Additionally, dose-dense chemotherapy may also be associated with a higher risk of side effects such as febrile neutropenia, which requires support with granulocytic colony factors to reduce this risk of complications (18-21).

The use of immunotherapy, and especially pembrolizumab, has been explored in the neo- and adjuvant management of triple-negative breast cancer (23). The KEYNOTE-522 study evaluated the safety and efficacy of pembrolizumab in combination with neoadjuvant chemotherapy followed by pembrolizumab as adjuvant therapy in patients with early-stage TNBC (24-25). The study included 1174 treatment-naïve patients with stage II or III TNBC and were randomly assigned to receive neoadjuvant chemotherapy with carboplatin/paclitaxel and anthracyclines with or without pembrolizumab. After surgery, patients received pembrolizumab or placebo as complementary adjuvant therapy for one year. The study showed that the addition of pembrolizumab to neoadjuvant chemotherapy increased the overall pCR rate from 51 to 65 percent independent of PD-L1 expression (24-25).

At follow-up, the addition of pembrolizumab improved 36-month DFS (85% with pembrolizumab versus 77% with placebo), with a 37% reduction in events (HR 0.63, 95% CI 0.48-0 ,82) (25). DFS with the addition of pembrolizumab had a greater absolute benefit in patients who did not achieve pCR with NACT than in patients who achieved pCR (94 versus 92 percent), thus raising the need for additional adjuvant therapy in patients with post-neoadjuvant residual disease. Capecitabine can potentially be combined with pembrolizumab in this subgroup; however, the study did not contemplate the addition of Capecitabine in these cases and we still need to wait for mature results from this long-term study in this regard. In our country, treatment with immunotherapy (pembrolizumab) is not available for use in this indication.

This study was observational, with the inherent limitations of this type of design. Results of this study enabled a comparison with international publications about the population characteristics and the benefit of treatment with Capecitabine in this group of patients. However, we found that in this group, in which OS and PFS were analyzed, results were similar to international studies. An important limitation was not having a control group to which Capecitabine was not prescribed as neoadjuvant chemotherapy.

5. Conclusions

Favorable results were observed in patients with triple-negative breast cancer with post-neoadjuvant residual disease with adjuvant Capecitabine, particularly in postmenopausal patients with smaller previous size, regardless of the RCB, since they presented better PFS and OS. More studies are needed to make a comparison between patients who received adjuvant Capecitabine and others who did not receive another regimen.

7.1. Acknowledgment

The authors thank the Fundación Colombiana de Cancerología Clínica Vida for allowing the research to be carried out and providing the database of patients with the inclusion characteristics.

7.3. Financing

The study was financed with each researcher's own resources.

References

1. Gonzalez L, Bardach A, Palacios A, Peckaitis C, Ciapponi A, Pichón-Riviere A, Augustovski F. Health-Related Quality of Life in Patients with Breast Cancer in Latin America, and the Caribbean: A Systematic Review and Meta-Analysis. Oncologist. 2021 May;26(5): e794-e806. https://doi.org/10.1002/onco.13709

L Gonzalez A Bardach A Palacios C Peckaitis A Ciapponi A Pichón-Riviere F. Augustovski Health-Related Quality of Life in Patients with Breast Cancer in Latin America, and the Caribbean: A Systematic Review and Meta-AnalysisOncologist052021265e794e806https://doi.org/10.1002/onco.13709

2. The Global Cancer Observatory - All Rights Reserved - 2020. https://gco.iarc.fr/

The Global Cancer Observatory - All Rights Reserved2020https://gco.iarc.fr/

3. Bianchini, G., De Angelis, C., Licata, L. et al. Treatment landscape of triple-negative breast cancer - expanded options, evolving needs. Nat Rev Clin Oncol. 2021;19, 91-113. https://doi.org/10.1038/s41571-021-00565-2

G. Bianchini C. De Angelis L. Licata Treatment landscape of triple-negative breast cancer - expanded options, evolving needsNat Rev Clin Oncol20211991113https://doi.org/10.1038/s41571-021-00565-2

4. Lang Y, Chai Q, Tao W, Liao Y, Liu X, Wu B. Cost-effectiveness of sacituzumab govitecan versus chemotherapy in advanced or metastatic triple-negative breast cancer. Breast. 2023 Apr;68: 173-80. https://doi.org/10.1016/j.breast.2023.02.003

Y Lang Q Chai W Tao Y Liao X Liu B. Wu Cost-effectiveness of sacituzumab govitecan versus chemotherapy in advanced or metastatic triple-negative breast cancerBreast04202368173180https://doi.org/10.1016/j.breast.2023.02.003

5 . Tarantino P, Gandini S, Trapani D, Criscitiello C, Curigliano G. Immunotherapy addition to neoadjuvant chemotherapy for early triple negative breast cancer: A systematic review and meta-analysis of randomized clinical trials. Crit Rev Oncol Hematol. 2021 Mar;159: 103223. https://doi.org/10.1016/j.critrevonc.2021.103223

P Tarantino S Gandini D Trapani C Criscitiello G. Curigliano Immunotherapy addition to neoadjuvant chemotherapy for early triple negative breast cancer: A systematic review and meta-analysis of randomized clinical trialsCrit Rev Oncol Hematol032021159103223103223https://doi.org/10.1016/j.critrevonc.2021.103223

6. Miglietta F, Dieci MV, Griguolo G, Guarneri V. Neoadjuvant approach as a platform for treatment personalization: focus on HER2-positive and triple-negative breast cancer. Cancer Treat Rev. 2021 Jul;98: 102222. https://doi.org/10.1016/j.ctrv.2021.102222

F Miglietta MV Dieci G Griguolo V. Guarneri Neoadjuvant approach as a platform for treatment personalization: focus on HER2-positive and triple-negative breast cancerCancer Treat Rev07202198102222102222https://doi.org/10.1016/j.ctrv.2021.102222

7. Korde LA, Somerfield MR, Carey LA, Crews JR, Denduluri N, Hwang ES, et al. Neoadjuvant Chemotherapy, Endocrine Therapy, and Targeted Therapy for Breast Cancer: ASCO Guideline. J Clin Oncol 2021. JCO2003399. https://doi.org/10.1200/JCO.20.03399

LA Korde MR Somerfield LA Carey JR Crews N Denduluri ES Hwang Neoadjuvant Chemotherapy, Endocrine Therapy, and Targeted Therapy for Breast Cancer: ASCO GuidelineJ Clin Oncol2021JCO2003399https://doi.org/10.1200/JCO.20.03399

8. Early Breast Cancer Trialists' Collaborative Group (EBCTCG). Effects of chemotherapy and hormonal therapy for early breast cancer on recurrence and 15-year survival: an overview of the randomized trials. Lancet 2005;365: 1687-717. https://doi.org/10.1016/S0140-6736(05)66544-0

Early Breast Cancer Trialists' Collaborative Group (EBCTCG) Effects of chemotherapy and hormonal therapy for early breast cancer on recurrence and 15-year survival: an overview of the randomized trialsLancet200536516871717https://doi.org/10.1016/S0140-6736(05)66544-0

9. Peto R, Davies C, Godwin J, Gray R, Pan HC, et al. Comparisons between different polychemotherapy regimens for early breast cancer: meta-analyses of long-term outcome among 100,000 women in 123 randomized trials. Lancet 2012;379: 432-44. https://doi.org/10.1016/S0140-6736(11)61625-5

R Peto C Davies J Godwin R Gray HC Pan Comparisons between different polychemotherapy regimens for early breast cancer: meta-analyses of long-term outcome among 100,000 women in 123 randomized trialsLancet2012379432444https://doi.org/10.1016/S0140-6736(11)61625-5

10. Cortazar P, Zhang L, Untch M, Mehta K, Costantino JP, Wolmark N, et al. Pathological complete response and long-term clinical benefit in breast cancer: the CTNeoBC pooled analysis. Lancet 2014;384: 164-72. https://doi.org/10.1016/S0140-6736(13)62422-8

P Cortazar L Zhang M Untch K Mehta JP Costantino N Wolmark Pathological complete response and long-term clinical benefit in breast cancer: the CTNeoBC pooled analysisLancet2014384164172https://doi.org/10.1016/S0140-6736(13)62422-8

11. Łukasiewicz S, Czeczelewski M, Forma A, Baj J, Sitarz R, Stanisławek A. Breast Cancer-Epidemiology, Risk Factors, Classification, Prognostic Markers, and Current Treatment Strategies-An Updated Review. Cancers (Basel). 2021 Aug 25;13(17): 4287. https://doi.org/10.3390/cancers13174287

S Łukasiewicz M Czeczelewski A Forma J Baj R Sitarz A. Stanisławek Breast Cancer-Epidemiology, Risk Factors, Classification, Prognostic Markers, and Current Treatment Strategies-An Updated ReviewCancers (Basel)25082021131742874287https://doi.org/10.3390/cancers13174287

12. Szymiczek A, Lone A, Akbari MR. Molecular intrinsic versus clinical subtyping in breast cancer: A comprehensive review. Clin Genet. 2021 May;99(5): 613-37. https://doi.org/10.1111/cge.13900

A Szymiczek A Lone MR. Akbari Molecular intrinsic versus clinical subtyping in breast cancer: A comprehensive reviewClin Genet052021995613637https://doi.org/10.1111/cge.13900

13. Masuda N, Lee SJ, Ohtani S, Im YH, Lee ES, Yokota I, Kuroi K, Im SA, Park BW, Kim SB, Yanagita Y, Ohno S, Takao S, Aogi K, Iwata H, Jeong J, Kim A , Park KH, Sasano H, Ohashi Y, Toi M. Adjuvant Capecitabine for Breast Cancer after Preoperative Chemotherapy. N Engl J Med. 2017 Jun 1;376(22):2147-159. https://doi.org/10.1056/NEJMoa1612645

N Masuda SJ Lee S Ohtani YH Im ES Lee I Yokota K Kuroi SA Im BW Park SB Kim Y Yanagita S Ohno S Takao K Aogi H Iwata J Jeong A Kim KH Park H Sasano Y Ohashi M. Toi Adjuvant Capecitabine for Breast Cancer after Preoperative ChemotherapyN Engl J Med010620173762221472159https://doi.org/10.1056/NEJMoa1612645

14. Lluch A, Barrios CH, Torrecillas L, Ruiz-Borrego M, Bines J, Segalla J, Guerrero-Zotano Á, García-Sáenz JA, Torres R, de la Haba J, García-Martínez E, Gómez HL, Llombart A, Bofill JS, Baena-Cañada JM, Barnadas A, Calvo L, Pérez-Michel L, Ramos M, Fernández I, Rodríguez-Lescure Á, Cárdenas J, Vinholes J, Martínez de Dueñas E, Godes MJ, Seguí MA, Antón A, López -Álvarez P, Moncayo J, Amorim G, Villar E, Reyes S, Sampaio C, Cardemil B, Escudero MJ, Bezares S, Carrasco E, Martín M; GEICAM Spanish Breast Cancer Group; CIBOMA (Iberoamerican Coalition for Research in Breast Oncology); LACOG (Latin American Cooperative Oncology Group) . Phase III Trial of Adjuvant Capecitabine After Standard Neo-/Adjuvant Chemotherapy in Patients With Early Triple-Negative Breast Cancer (GEICAM/2003-11_CIBOMA/2004-01). J Clin Oncol. 2020 Jan 20;38(3): 203-13. https://doi.org/10.1200/JCO.19.00904

A Lluch CH Barrios L Torrecillas M Ruiz-Borrego J Bines J Segalla Á Guerrero-Zotano JA García-Sáenz R Torres J de la Haba E García-Martínez HL Gómez A Llombart JS Bofill JM Baena-Cañada A Barnadas L Calvo L Pérez-Michel M Ramos I Fernández Á Rodríguez-Lescure J Cárdenas J Vinholes E Martínez de Dueñas MJ Godes MA Seguí A Antón P López -Álvarez J Moncayo G Amorim E Villar S Reyes C Sampaio B Cardemil MJ Escudero S Bezares E Carrasco M Martín GEICAM Spanish Breast Cancer Group CIBOMA (Iberoamerican Coalition for Research in Breast Oncology) LACOG (Latin American Cooperative Oncology Group) Phase III Trial of Adjuvant Capecitabine After Standard Neo-/Adjuvant Chemotherapy in Patients With Early Triple-Negative Breast Cancer (GEICAM/2003-11_CIBOMA/2004-01)J Clin Oncol20012020383203213https://doi.org/10.1200/JCO.19.00904

15. von Elm E, Altman DG, Egger M, Pocock SJ, Gøtzsche PC, Vandenbroucke JP; STROBE Initiative. The Strengthening the Reporting of Observational Studies in Epidemiology (STROBE) statement: guidelines for reporting observational studies. J Clin Epidemiol. 2008 Apr;61(4): 344-9. https://doi.org/10.1016/j.jclinepi.2007.11.008

E von Elm DG Altman M Egger SJ Pocock PC Gøtzsche JP Vandenbroucke STROBE Initiative The Strengthening the Reporting of Observational Studies in Epidemiology (STROBE) statement: guidelines for reporting observational studiesJ Clin Epidemiol042008614344349https://doi.org/10.1016/j.jclinepi.2007.11.008

17. Ye F, Bian L, Wen J, Yu P, Li N, Xie X, Wang X. Additional capecitabine use in early-stage triple negative breast cancer patients receiving standard chemotherapy: a new era? A meta-analysis of randomized controlled trials. BMC Cancer. 2022 Mar 12;22(1): 261. https://doi.org/10.1186/s12885-022-09326-5

F Ye L Bian J Wen P Yu N Li X Xie X. Wang Additional capecitabine use in early-stage triple negative breast cancer patients receiving standard chemotherapy: a new era? A meta-analysis of randomized controlled trialsBMC Cancer12032022221261261https://doi.org/10.1186/s12885-022-09326-5

18. Wang X, Wang J, He Y, Li J, Wang T, Ouyang T, et al. Observation Effectiveness of Dose-Dense Neoadjuvant Anthracycline Sequential Weekly Paclitaxel for Triple-Negative Breast Cancer Patients. Breast Cancer Clin. 2023 Jun;23(4): 423-30. https://doi.org/10.1016/j.clbc.2023.02.009

X Wang J Wang Y He J Li T Wang T Ouyang Observation Effectiveness of Dose-Dense Neoadjuvant Anthracycline Sequential Weekly Paclitaxel for Triple-Negative Breast Cancer PatientsBreast Cancer Clin062023234423430https://doi.org/10.1016/j.clbc.2023.02.009

19. Schneeweiss A, Möbus V, Tesch H, Hanusch C, Denkert C, Lübbe K, Huober J, Klare P, Kümmel S, Untch M, Kast K, Jackisch C, Thomalla J, Ingold-Heppner B, Blohmer JU, Rezai M, Frank M, Engels K, Rhiem K, Fasching PA, Nekljudova V, von Minckwitz G, Loibl S. Intense dose-dense epirubicin, paclitaxel, cyclophosphamide versus weekly paclitaxel, liposomal doxorubicin (plus carboplatin in triple-negative breast cancer) for neoadjuvant treatment of high-risk early breast cancer (GeparOcto-GBG 84): A randomized phase III trial. Eur J Cancer. 2019 Jan;106: 181-92. https://doi.org/10.1016/j.ejca.2018.10.015

A Schneeweiss V Möbus H Tesch C Hanusch C Denkert K Lübbe J Huober P Klare S Kümmel M Untch K Kast C Jackisch J Thomalla B Ingold-Heppner JU Blohmer M Rezai M Frank K Engels K Rhiem PA Fasching V Nekljudova G von Minckwitz S. Loibl Intense dose-dense epirubicin, paclitaxel, cyclophosphamide versus weekly paclitaxel, liposomal doxorubicin (plus carboplatin in triple-negative breast cancer) for neoadjuvant treatment of high-risk early breast cancer (GeparOcto-GBG 84): A randomized phase III trialEur J Cancer012019106181192https://doi.org/10.1016/j.ejca.2018.10.015

20. Schneeweiss A, Michel LL, Möbus V, Tesch H, Klare P, Hahnen E, Denkert C, Kast K, Pohl-Rescigno E, Hanusch C, Link T, Untch M, Jackisch C, Blohmer JU, Fasching PA, Solbach C, Schmutzler RK, Huober J, Rhiem K, Nekljudova V, Lübbe K, Loibl S; GBG and AGO-B. Survival analysis of the randomized phase III GeparOcto trial comparing neoadjuvant chemotherapy of intense dose-dense epirubicin, paclitaxel, cyclophosphamide versus weekly paclitaxel, liposomal doxorubicin (plus carboplatin in triple-negative breast cancer) for patients with high-risk early breast cancer. Eur J Cancer. 2022 Jan;160: 100-11. https://doi.org/10.1016/j.ejca.2021.10.011

A Schneeweiss LL Michel V Möbus H Tesch P Klare E Hahnen C Denkert K Kast E Pohl-Rescigno C Hanusch T Link M Untch C Jackisch JU Blohmer PA Fasching C Solbach RK Schmutzler J Huober K Rhiem V Nekljudova K Lübbe S Loibl GBG and AGO-B Survival analysis of the randomized phase III GeparOcto trial comparing neoadjuvant chemotherapy of intense dose-dense epirubicin, paclitaxel, cyclophosphamide versus weekly paclitaxel, liposomal doxorubicin (plus carboplatin in triple-negative breast cancer) for patients with high-risk early breast cancerEur J Cancer012022160100111https://doi.org/10.1016/j.ejca.2021.10.011

21. Petrelli F, Tomasello G, Parati MC, Ghidini A, Ghidini M, Borgonovo K, Cabiddu M, Ghilardi M, Reduzzi R, Gambini D, Zaniboni A, Faustinelli G, Garrone O. Different Chemotherapy Regimens and Pathologic Complete Response in Triple-Negative Breast Cancer: An Updated Network Meta-Analysis of Phase 3 Trials. Medicine (Kaunas). 2024 Feb 19;60(2): 341.

F Petrelli G Tomasello MC Parati A Ghidini M Ghidini K Borgonovo M Cabiddu M Ghilardi R Reduzzi D Gambini A Zaniboni G Faustinelli O. Garrone Different Chemotherapy Regimens and Pathologic Complete Response in Triple-Negative Breast Cancer: An Updated Network Meta-Analysis of Phase 3 TrialsMedicine (Kaunas)19022024602341341

22. Lin YY, Gao HF, Yang meta-analysis. Breast. 2022 Dec;66: 126-35. https://doi.org/10.3390/medicina60020341

YY Lin HF Gao Yang meta-analysis Breast12202266126135https://doi.org/10.3390/medicina60020341

23. Rizzo A, Cusmai A, Acquafredda S, Giovannelli F, Rinaldi L, Misino A, Palmiotti G. KEYNOTE-522, IMpassion031 and GeparNEW: changing the paradigm of neoadjuvant immune checkpoint inhibitors in early triple-negative breast cancer. Future Oncol. 2022 Jun;18(18): 2301-9. https://doi.org/10.2217/fon-2021-1647

A Rizzo A Cusmai S Acquafredda F Giovannelli L Rinaldi A Misino G. Palmiotti KEYNOTE-522, IMpassion031 and GeparNEW: changing the paradigm of neoadjuvant immune checkpoint inhibitors in early triple-negative breast cancerFuture Oncol062022181823012309https://doi.org/10.2217/fon-2021-1647

24. Schmid P, Cortes J, Pusztai L, McArthur H, Kümmel S, Bergh J, Denkert C, Park YH, Hui R, Harbeck N, Takahashi M, Foukakis T, Fasching PA, Cardoso F, Untch M, Jia L, Karantza V, Zhao J, Aktan G, Dent R, O'Shaughnessy J; KEYNOTE-522 Investigators. Pembrolizumab for Early Triple-Negative Breast Cancer. N Engl J Med. 2020 Feb 27;382(9): 810-21. https://doi.org/10.1056/NEJMoa1910549

P Schmid J Cortes L Pusztai H McArthur S Kümmel J Bergh C Denkert YH Park R Hui N Harbeck M Takahashi T Foukakis PA Fasching F Cardoso M Untch L Jia V Karantza J Zhao G Aktan R Dent J O'Shaughnessy KEYNOTE-522 Investigators Pembrolizumab for Early Triple-Negative Breast CancerN Engl J Med270220203829810821https://doi.org/10.1056/NEJMoa1910549

25. Schmid P, Cortes J, Dent R, Pusztai L, McArthur H, Kümmel S, Bergh J, Denkert C, Park YH, Hui R, Harbeck N, Takahashi M, Untch M, Fasching PA, Cardoso F, Andersen J, Patt D, Danso M, Ferreira M, Mouret-Reynier MA, Im SA, Ahn JH, Gion M, Baron-Hay S, Boileau JF, Ding Y, Tryfonidis K, Aktan G, Karantza V, O'Shaughnessy J; KEYNOTE-522 Investigators. Event-free Survival with Pembrolizumab in Early Triple-Negative Breast Cancer. N Engl J Med. 2022 Feb 10;386(6): 556-67. https://doi.org/10.1056/NEJMoa2112651

P Schmid J Cortes R Dent L Pusztai H McArthur S Kümmel J Bergh C Denkert YH Park R Hui N Harbeck M Takahashi M Untch PA Fasching F Cardoso J Andersen D Patt M Danso M Ferreira MA Mouret-Reynier SA Im JH Ahn M Gion S Baron-Hay JF Boileau Y Ding K Tryfonidis G Aktan V Karantza J O'Shaughnessy KEYNOTE-522 Investigators Event-free Survival with Pembrolizumab in Early Triple-Negative Breast CancerN Engl J Med100220223866556567https://doi.org/10.1056/NEJMoa2112651

[4] Oviedo-Tábora AJ, Vásquez-Trespalacios EM, Bravo-Muñoz FM, Cuello-Lopez JM. Disease Free Survival and Overall Survival in Triple-Negative Breast Cancer Patients with Post-Neoadjuvant Residual Disease Treated with Adjuvant Capecitabine. Oncología (Ecuador). 2024;34(2): 74-84. https://doi.org/10.33821/745

[5] Abbreviation OS: Overall Survival PFS: Progression-free survival RCB: residual cancer burden TNBC: triple negative breast cancer HR: Hazard ratio

[6] The protocol of this study was approved by the institutional committee of ethics of research in human beings of the CES University (cod Acta2 Ae-973) and the Fundación Colombiana de Cancerología Clínica Vida. Since this is a retrospective study without any intervention in the care of patients, consent was not required. Patient data were guaranteed to be submitted anonymously and confidentially.


Supervivencia libre de progresión y supervivencia global en pacientes con cáncer de mama triple negativo con enfermedad residual postneoadyuvancia tratadas con capecitabina adyuvante Capecitabina en cáncer de mama


Resumen

Antecedentes:

La escasez de terapias eficaces ha contribuido a que el cáncer de mama triple negativo tenga resultados desfavorables.

Objetivo:

Evaluar la supervivencia global y libre de progresión en pacientes con cáncer de mama triple negativo con enfermedad residual postneoadyuvancia, tratadas con capecitabina.

Métodos:

Estudio de cohorte retrospectiva. Se calcularon funciones de supervivencia de Kaplan-Meier. Además, se desarrollaron modelos de regresión de Cox para análisis de asociación.

Resultados:

Se incluyeron 41 pacientes, de las cuales 25 (61 %) eran posmenopáusicas y 23 (56,1 %) tenían tumores iniciales ≥ 5,1 cm. La mediana de supervivencia libre de progresión fue de 25,03 meses (IC 95 %, 13,37-36,68). El 26,8 % de las pacientes presentaron progresión a los 36 meses de seguimiento, entre ellas, el 54,5 % eran premenopáusicas. En las mujeres con estado postmenopáusico se observó mayor supervivencia libre de progresión (HR 0,32, IC95 % 0,09-0,98, p 0,045). La mediana de supervivencia global fue de 55,60 meses (IC 95 %, 46,5-58,5). No se observaron diferencias significativas entre el score RCB (Residual Cancer Burden) y la supervivencia libre de progresión y la supervivencia global.

Conclusión:

En pacientes con enfermedad residual postneoadyuvancia tratadas con capecitabina adyuvante se observaron resultados favorables, sobre todo en aquellas pacientes postmenopáusicas y con menor tamaño tumoral previo.



1. Introducción

El cáncer de mama es el cáncer más frecuente y causa de muerte específica entre las mujeres que viven en la región de América Latina y el Caribe, con 200 000 nuevos casos y más de 52 000 muertes por año [1]. También se ubica en el primer lugar de incidencia para Colombia con 15 509 casos y una mortalidad de 4411 casos para el 2020 [2]. Entre todos los casos nuevos de cáncer de mama, el cáncer de mama triple negativo (CMTN) ocurre con una frecuencia de entre el 15 y el 20 % [3].

La alta heterogeneidad, agresividad y la ausencia de un receptor que actúe como blanco para el desarrollo de nuevos fármacos explican el hecho de que el CMNT sea el subtipo con los resultados clínicos menos favorables y con el menor número de opciones terapéuticas eficaces [3].

A pesar de que algunos inhibidores han probado ser eficaces en la fase neoadyuvante, su alto precio y su no muy buena relación costo-efectividad hacen que, desde la perspectiva de los pagadores, estos inhibidores no sean la elección probable para pacientes con CMTN [4]. Por tanto, la quimioterapia sigue siendo aún la piedra angular del tratamiento, tanto neoadyuvante como adyuvante. En el contexto neoadyuvante, la quimioterapia suele administrarse con el fin de reducir el tamaño del tumor y lograr potencialmente un mejor resultado quirúrgico, así como para evaluar el pronóstico del paciente [5]. Actualmente, la quimioterapia estándar para el tratamiento del CMTN está representada por la secuencia de taxanos (docetaxel/paclitaxel) y antraciclina [6-10].

No obstante, a pesar de que el régimen de quimioterapia sea efectivo, el riesgo de recaída a diez años del CMTN oscila entre un 20 y un 40 % [11], así que es necesario explorar el papel de nuevos agentes y regímenes de quimioterapia con el fin de obtener beneficios importantes en la supervivencia de estas pacientes.

La capecitabina es un análogo de los nucleósidos, utilizado habitualmente en pacientes con cáncer de mama metastásico y cuyo papel en el tratamiento del CMTN ha suscitado un especial interés [11,12].

Varios estudios han analizado el papel de la capecitabina en el tratamiento del CMTN y se han obtenido resultados heterogéneos. El estudio CREATE-X evaluó el papel de la capecitabina con relación a la supervivencia libre de enfermedad (SLE) en pacientes con enfermedad triple negativa, la tasa de SLE fue del 69,8 % en el grupo de capecitabina frente al 56,1 % del grupo de control (HR 0,58; IC del 95 %, 0,39 a 0,87), y la tasa de supervivencia global (SG) fue de 78,8 % frente al 70,3 % (cociente de riesgo de muerte, 0,52; IC del 95 %, 0,30 a 0,90) [13]. El estudio GEICAM/2003-11-CIBOMA/2004-01 exploró la capecitabina adyuvante después de la quimioterapia estándar en pacientes con CMTN temprano, pero este estudio no pudo mostrar un aumento estadísticamente significativo de la SLE al añadir capecitabina a la quimioterapia estándar en pacientes con CMTN temprano [14].

Teniendo en cuenta los resultados contradictorios y, además, la ausencia de datos provenientes de poblaciones latinoamericanas sobre el efecto de la capecitabina neoadyuvante en pacientes con CMTN, se hace necesario aportar nueva evidencia que permita sacar conclusiones e individualizar opciones de tratamiento para estas pacientes.

El objetivo primario de este estudio fue evaluar la supervivencia libre de progresión (SLP) de pacientes con cáncer de mama triple negativo estadio I-III con enfermedad residual postneoadyuvancia, tratadas con capecitabina, en un centro de referencia oncológico de la ciudad de Medellín, Colombia. Como objetivo secundario se evaluó la SG en estas pacientes.

2. Materiales y métodos

El protocolo de este estudio fue aprobado por el Comité institucional de Ética de la Investigación en seres Humanos de la Universidad CES (cod Acta211Proy973) y de la Fundación Colombiana de Cancerología Clínica Vida (FCCCV). Es un estudio retrospectivo, sin intervención alguna en la atención de las pacientes, por lo que no se requirió de consentimiento informado para estudios de investigación de la institución. Se garantizó el anonimato y la confidencialidad de los datos de las pacientes. El reporte de resultados sigue las recomendaciones de la guía STROBE [15].

2.1 Diseño y contexto

Estudio observacional de seguimiento a una cohorte desde el 15 de abril del 2018 hasta el 27 de abril del 2023, hasta la muerte o censura administrativa, según los registros tomados de la base de datos de la FCCCV de Medellín, entre el 2019 y el 2023. La recolección de los datos se realizó desde el 15 de febrero del 2023 hasta el 18 de mayo del 2023. El 6 de junio del 2023 se evaluó para todas las pacientes la mortalidad en la plataforma de la Administradora de los Recursos del Sistema General de Seguridad Social en Salud (Adres) [16]. Adres es la entidad del Estado en la cual se encuentran los registros de la población, incluida su fecha de fallecimiento.

2.2 Participantes

De la información suministrada por la institución FCCCV, en total se revisaron 144 historias de pacientes a quienes se les prescribió capecitabina en la institución. Las pacientes fueron incluidas en el estudio si cumplían con los siguientes criterios: mujeres mayores de 18 años, con cáncer de mama triple negativo, estadio I-III, con enfermedad residual tras quimioterapia neoadyuvante y que recibieron capecitabina como monoterapia adyuvante. Los criterios de exclusión fueron tener cáncer de mama bilateral, cánceres múltiples sincrónicos, tratamiento previo con fluoracilo oral, pacientes embarazadas y en periodo de lactancia. También se excluyeron las pacientes cuyos registros tenían más del 10 % de los datos perdidos.

2.3 Cáncer de mama triple negativo

El subtipo triple negativo fue definido como la negatividad en los receptores hormonales por inmunohistoquímica y Her2 negativo por inmunohistoquímica (Her2 0 o 1+) o prueba FISH (hibridación in situ) en los casos de Her2 equívoco (2+).

2.4 Variables

La variable de resultado principal fue la SG, que se calculó desde el momento del inicio del tratamiento hasta el último seguimiento o el momento de la muerte por cualquier causa. La SLP fue una variable resultado secundaria que se calculó desde el momento del inicio del tratamiento hasta que se documentó la progresión o al último control sin evidencia de progresión. Se tomaron en cuenta las características iniciales de las pacientes: edad, estado menopaúsico, tamaño tumoral, afectación ganglionar axilar, esquema de quimioterapia neoadyuvante recibido, cirugía realizada, así como también características de la enfermedad residual, enfocada en la carga tumoral residual (RCB, Residual Cancer Burden).

2.5 Fuentes de datos

Se solicitó al equipo de informática de la FCCCV la lista de pacientes ingresadas entre el 2019 y el 2023 por CMTN, tratadas con capecitabina adyuvante, posteriormente se realizó la revisión del historial médico de cada una de ellas para determinar quiénes cumplían con los criterios de inclusión y así obtener los datos de interés para el estudio.

Para determinar el diagnóstico, se tomó la fecha del primer estudio histopatológico. Para la progresión se registró la fecha del primer estudio imagenológico que evidenció el cambio locorregional o a distancia. Finalmente, la fecha de corte para evaluar la sobrevida fue el 6 de junio del 2023 para todas las pacientes; se comprobó el estado de la actividad en la plataforma Adres [16].

2.6 Control de sesgos

La recolección de datos la realizó un investigador verificando en cada una de las historias que se cumpliera con los requisitos de inclusión y consignándolos en la correspondiente plantilla de Excel, en la que se estipulaba cada variable de interés. En caso de dudas en algún registro de variables, se consultó con los investigadores expertos en el área (mastólogo, oncólogo o epidemióloga). Se revisó la historia clínica, si carecía de información o estaba incompleta, se verificaban las evaluaciones de mastología, y cuando no se contaba con ninguna, los datos eran extraídos de las notas de las otras especialidades relacionadas con el cuidado de la paciente por su condición oncológica (dolor y cuidado paliativo o rehabilitación oncológica).

2.7 Métodos estadísticos

Se realizó un análisis univariado con el fin de caracterizar la población de estudio. Se tuvo en cuenta la naturaleza de las variables, para el caso de las variables cuantitativas se realizó la prueba de normalidad de Kolmogorov-Smirnov, para definir si estas variables se presentan con promedios o medianas. Las variables cualitativas se presentaron usando frecuencias absolutas y relativas. La mediana de la supervivencia se calculó mediante la curva de Kaplan Meier.

Para el análisis bivariado las diferencias en la supervivencia según covariables se calcularon con la prueba de log Rank test.

Se realizó un análisis multivariado a través de la asociación entre covariables y el tiempo al evento mediante una regresión de COX. Un valor de p inferior a 0,05 se consideró estadísticamente significativo. Todos los análisis se realizaron en el programa SPSS versión 25.

3. Resultados

3.1 Participantes

Un total de 41 pacientes cumplieron con los criterios de inclusión: una mediana de edad de 55 (44,5-65,5) años; 25 de ellas (61 %) eran posmenopáusicas, solo 16 (39 %) eran premenopáusicas. El subtipo histológico más frecuente fue el carcinoma ductal invasor en 39 de ellas (95,1%). El T4b fue la estadificación más frecuente de las pacientes en 14 de ellas (36,6 %). Los datos descriptivos iniciales de las pacientes se presentan en la Tabla 1.

Tabla 1

Características iniciales de las pacientes con cáncer de mama triple negativo con enfermedad residual postneoadyuvancia

Características N (%)
Edad
Mediana (rango intercuartílico) 55(44,5-65,5)
Estado menopaúsico
Premenopáusicas 16 (39)
postmenopáusicas 25 (61)
Histología del tumor
Ductal 39 (95,1)
Lobular 1 (2,4)
Otro 1 (2,4)
Tamaño tumoral al diagnóstico
≤ 2cm 2 (4,8)
2,1-5 cm 16 (39)
≥5,1 cm 23 (56,1)
T previo
T2 11 (26,8)
T3 14 (34,1)
T4b 15 (36,6)
T4c 1 (2,4)
Grado histológico
1 1 (2,4)
2 10 (24,4)
3 30 (76,2)
Ki67, Mediana (rango intercuartílico) 60 (40-80)
Focalidad
Unifocal 38 (92,7)
Multifocal 2 (4,9)
Multicéntrico 1 (2,4)
Afectación ganglionar
No 9 (31)
32 (78)
Neoadyuvancia recibida
Antraciclicas + Taxanos 36 (87,8)
Taxanos 1 (2,4)
Docetaxel + ciclofosfamida 1 (2,4)
Taxanos y platino 3 (7,3)
Cirugía realizada en mama
Cirugía conservadora 13 (31,7)
Mastectomía 28 (68,2)
Cirugía axilar realizada
BGC 7 (17,1)
BGC + VA 1 (2,1)
VA 27 (65,9)
Sin cirugía axilar 6 (14,6)
Radioterapia adyuvante 40 (97,6)

[i]T: tamaño tumoral (TNM), BGC: biopsia de ganglio centinela, VA: vaciamiento axilar.

3.2 Respuesta a quimioterapia neoadyuvante y capecitabine

En el 70 % de los casos, el manejo con quimioterapia consistía en el uso de doxorrubicina (60 mg/m2) más ciclofosfamida (600 mg/m2), cada 21 días con soporte de factores estimulantes de colonias granulocíticas en cada ciclo, seguido de paclitaxel (80 mg/m2) semanal por 12 semanas. Tan solo el 22 % recibió esquema con antraciclinas en dosis densa (cada 14 días) debido a barreras en el acceso. El uso de platinos en neoadyuvancia se realizó en el 68 % de los casos en concomitancia con paclitaxel.

El esquema de quimioterapia neoadyuvante más común fue antraciclicas más taxanos en 36 pacientes (87,8 %), el otro esquema que se utilizó en tres pacientes (7,3 %) fue el de taxanos más platinos, como se describe en la Tabla 1.

En ocho pacientes (19,5 %) la patología del espécimen quirúrgico reportó RCB 1, en 20 pacientes (48,8 %) RCB 2, y solo en 13 (31,7 %) fue reportado RCB 3. En la Tabla 2 se describen las características de las pacientes luego de la neoadyuvancia.

Tabla 2

Respuesta a quimioterapia neoadyuvante en pacientes con cáncer de mama triple negativo con enfermedad residual posneoadyuvancia

Características N (%)
RCB
1 8 (19,5)
2 20 (48,8)
3 13 (31,7)
Tamaño tumoral residual (mm)
Mediana (rango intercuartílico) 23 (10-36)
ypT
ypT0 1 (2,4)
ypT1a-ypT4c 40 (97,6)
Ganglios positivos
0 23 (56,1)
1-3 12 (29,3)
≥ 4 6 (16,6)
Tamaño de metástasis ganglionar (mm), mediana (RIQ) 2,63 (0-3)
Tamaño del lecho tumoral (mm), mediana (RIQ) 23 (11,50-38,50)
Celularidad postneoadyuvancia (%), mediana (RIQ) 50 (12,50-65)
CDIS residual (%), mediana (RIQ) 1 (0-20)
Progresión
No 30 (76,2)
11 (26,8)
Sitio de progresión
Regional 2 (18,1)
Loco-regional 2 (18,1)
Distancia 7 (63,6)
Sitio de progresión a distancia
SNC 1 (2,4)
Pulmones 2 (4,9)
Ganglionar 2 (4,9)
Huesos 2 (4,9)
Muerte
No 37 (90,2)
4 (9,8)

[i]RCB: Residual Cancer Burden, ypT: tamaño tumoral residual postneoadyuvancia, CDIS: carcinoma ductal in situ, SNC: sistema nervioso central.

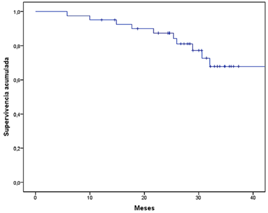
3.3 Supervivencia libre de progresión

La mediana de SLP fue de 25,03 meses (IC 95 %, 13,37-36,68). Once pacientes (26,8 %) presentaron progresión de la enfermedad tras iniciar el tratamiento adyuvante con capecitabina (Figura 1). Entre el total de pacientes en quienes se documentó progresión, en siete pacientes (63,6 %) se documentó progresión a distancia; en dos (18,1%), progresión regional y en otras dos (18,1%), progresión loco-regional, como se describe en la Tabla 2. La progresión a distancia más frecuente fue la ganglionar en dos pacientes (2,9 %), seguida de metástasis a pulmón y huesos, ambos grupos con la misma representación de dos pacientes (4,9 %). Entre las pacientes con progresión, cuatro murieron por esta causa. Al realizar el análisis multivariado (Tabla 3), las características que se asociaron de forma estadísticamente significativa en pacientes que recibieron adyuvancia con capecitabina fueron el estado posmenopáusico como factor protector para progresión (HR 0,32, IC del 95 % 0,09 -0,98, p 0,045) y un tamaño tumoral previo superior presentó mayor riesgo de progresión de la enfermedad en el tiempo (HR 1,69, IC del 95 %, 1,02-2,81, p = 0,041).

Figura 1

Supervivencia libre de progresión (SLP) en pacientes con cáncer de mama triple negativo con enfermedad residual postneoadyuvancia que recibieron capecitabina adyuvante.

2661-6653-onco-34-02-74-gf3.png

Tabla 3

Factores asociados al tiempo de la progresión en pacientes tratadas con capecitabina

Variable Univariado Multivariado
HR 95 %(CI) valor de p HR 95 %(CI) valor de p
Edad 0,97 (0,93-1,01) 0,162
Menopausia 0,32 (0,09-0,98) 0,045
Ki67 0,98 (0,95-1,01) 0,347
T previo 1,69 (1,02-2,81) 0,041 1,69 (1,02-2,81) 0,041
Afectación ganglionar previa 3,02 (0,38-23,94) 0,294
Cirugía en mama (mastectomía/conservadora) 0,77 (0,23-2,56) 0,681    
Ganglios afectados
0 ref 0,039    
1 a 3 1,63 (0,36-7,38
4 3,85 (1,10-13,39)    
Tamaño del ganglio mayor 1,04 (0,98-1,12) 0,158
RCB
1 ref 0,208
2 0,47 (0,06-3,42)
3 1.95 (0,39-9,72)
Focalidad
Multifocal o multicéntrico/unifocal 0.04 (0.01-9.70) 0,854
NACT
(Taxanos + platino /Antraciclinas + taxanos) 2.76 (0.71-10.61) 0.139
YpT (ypT1a-ypT4c/Yp0) 2,13 (0,62-7,28) 0,228

[i]T: tamaño tumoral, RCB: Residual Cancer Burden, ypT: tamaño tumoral residual postneoadyuvancia, NACT: quimioterapia neoadyuvante.

3.4 Supervivencia global

La media de SG fue de 50,37 meses (IC 95 %, 45,3-55,5). Al realizar el análisis de supervivencia por RCB, se encuentra que la media de SG fue de 51, 50 y 46 meses para RCB 1, RCB 2 y RCB 3 respectivamente (Figura 2), y esta diferencia no fue estadísticamente significativa (p = 0,614). Tampoco hubo diferencias significativas según los diferentes esquemas neoadyuvante o el tipo de cirugía que se realizó.

Figura 2

Supervivencia global (SG) en pacientes con cáncer de mama triple negativo con enfermedad residual postneoadyuvancia que recibieron capecitabina adyuvante.

2661-6653-onco-34-02-74-gf4.png

4. Discusión

En Colombia no se cuenta con una caracterización clara, retrospectiva o prospectiva, de estas pacientes con enfermedad residual postneoadyuvancia que evalúe el posible efecto de la capecitabina en la SG de las personas afectadas; por lo tanto, este protocolo planteó evaluar de forma objetiva y retrospectiva las características de este grupo de pacientes y su comportamiento frente a la SLP y la SG. Se analizaron 41 pacientes, de las cuales, el 26 % presentó progresión de la enfermedad a los 36 meses y, de estas, cuatro pacientes murieron por esta causa.

Las pacientes de este estudio tenían una mediana de edad de 55 años (RIQ 44,5-65,6), similar al estudio Create X, 48 años (rango 25-74 años) (13), y de 49 años (rango 20-82 años) de las pacientes del GEICAM/2003-11_CIBOMA/2004-01 [14]. Al comparar los resultados de este estudio con los estudios mencionados, se observa que la SG en ellos fue del 94 % a cinco años en el grupo que recibió capecitabina [13], resultado mayor al compararlo con este estudio, con una SG de 80,6 % a los tres años. En el estudio GEICAM/2003-11_CIBOMA/2004-01 la SG de cinco años en el grupo de capecitabina fue de 86,2 % [13]; esto indica que aun así estos resultados son inferiores, por tanto, en futuros estudios prospectivos en nuestra población será necesario evaluar cuáles son las características desfavorables que están presentes. Una de esas características podría ser que en este estudio el 35,5 % eran tumores que afectaban piel o pared torácica; en la población del estudio Create X este grupo de pacientes solo era el 11,7 %, y en el estudio GEICAM/2003-11 CIBOMA/2004-01 no se especifica esa característica. En cuanto al tamaño tumoral, el 56,1 % tenía tumores mayores a 5 cm, mientras en el Create X solo el 15,1 % tenía tumores de este tamaño. Además, cabe señalar que el factor del tamaño tumoral al debut fue el único factor pronóstico independiente relacionado con la SLE en el análisis multivariado, lo cual indica que la cohorte en este estudio representa un grupo de pacientes con características iniciales más agresivas y, por consiguiente, su pronóstico sería menos favorable a pesar del uso de capecitabina adyuvante.

En este estudio, el 54,5 % de las pacientes que presentaron progresión eran premenopáusicas. Esta variable no fue evaluada en el Create X, en el grupo del GEICAM/2003-11 CIBOMA/2004-01 no hubo diferencias significativas entre estos dos grupos: premenopáusicas HR 0,686 (IC del 95 %, 0,408-1,153) frente a las postmenopáusicas HR 0,867 (IC del 95 %, 0,639-1,176).

Uno de los enfoques del estudio era evaluar el impacto del RCB en cuanto al pronóstico; sin embargo, no se encontraron diferencias estadísticamente significativas ni en SLP ni en SG entre los grupos RCB 1, RCB 2 y RCB 3, ya que al realizar el análisis de supervivencia por RCB se encontró que la media de supervivencia fue de 51, 50 y 46 meses para RCB 1, RCB 2 y RCB 3 respectivamente, y esto no fue estadísticamente significativo: p 0,614. Los estudios Create X y GEICAM/2003-11_CIBOMA/2004-01 no evaluaron estas variables.

En el metaanálisis realizado por Ye F et al. [17], se evaluó la eficacia de la capecitabina como quimioterapia adyuvante para el CMTN en fase inicial, tratado con quimioterapia basada en taxanos/antraciclinas y encontraron un aumento significativo de la SLE con la adición de capecitabina (cociente de riesgos [HR] = 0,77, IC del 95 %: 0,66-0,90). En los ensayos que incluían de seis a ocho ciclos de adición de capecitabina, se observó una mejora significativa de la SLE. Además, en un metaanálisis de seis ensayos, se detectó un aumento significativo de la SG en el grupo de capecitabina (HR = 0,69, IC del 95 %: 0,56-0,85) [17].

En el tratamiento neoadyuvante del CMTN, las antraciclinas, como la doxorrubicina y la epirrubicina, se utilizan en dosis densas en combinación con ciclofosfamida. Este enfoque, conocido como quimioterapia de dosis densa, implica administrar las antraciclinas en intervalos más cortos de lo habitual, generalmente cada dos semanas en lugar de cada tres semanas. La quimioterapia en dosis densa ha demostrado mejorar las tasas de respuesta patológica completa, aumenta la SLE y la SG en comparación con la quimioterapia estándar en algunos estudios [18-22]. Sin embargo, en este estudio tan solo el 22 % de los pacientes recibieron este esquema debido a barreras en el acceso. Adicionalmente, la quimioterapia en dosis densa también puede estar asociada con un mayor riesgo de efectos secundarios como neutropenia febril, lo cual obliga a realizar soporte con factores de colonias granulocíticas para reducir este riesgo de complicaciones [18-21].

El uso de inmunoterapia, y en especial con pembrolizumab, se ha explorado en el manejo neo y adyuvante en cáncer de mama triple negativo [23]. El estudio KEYNOTE-522 evaluó la seguridad y la eficacia de pembrolizumab en combinación con quimioterapia neoadyuvante seguida de pembrolizumab como terapia adyuvante en pacientes con CMTN en estadio temprano [24-25]. El estudio incluyó 1174 pacientes sin tratamiento previo con CMTN en estadios II o III y fueron asignados aleatoriamente a recibir quimioterapia neoadyuvante con carboplatino/paclitaxel y antraciclinas con o sin pembrolizumab. Después de la cirugía, los pacientes recibieron pembrolizumab o placebo como terapia adyuvante complementaria durante un año. El estudio mostró que la adición de pembrolizumab a quimioterapia neoadyuvante aumentó la tasa total de pCR del 51 al 65 % independiente de la expresión de PD-L1 [24-25].

En el seguimiento, la adición de pembrolizumab mejoró la SLE a 36 meses (85 % con pembrolizumab versus 77 % con placebo), con una reducción del 37 % en los eventos (HR 0,63, CI del 95 % 0,48-0,82) [25]. La SLE con la adición de pembrolizumab tuvo un mayor beneficio absoluto en los pacientes que no lograron el pCR con quimioterapia neoadyuvante (NACT) que en los pacientes que lograron el pCR (94 versus 92 %), lo cual plantea la necesidad de tratamiento complementario adyuvante adicional en pacientes con enfermedad residual postneoadyuvancia en la que capecitabina puede potencialmente combinarse con pembrolizumab en este subgrupo. Sin embargo, el estudio no contempló la adición de capecitabina en estos casos y falta aún esperar resultados maduros de este estudio a largo plazo en este aspecto. En Colombia, el tratamiento con inmunoterapia (pembrolizumab) no está disponible para uso en esta indicación.

Este estudio fue de tipo observacional, con las limitaciones inherentes a este tipo de diseño. Los resultados de este estudio permitieron hacer una comparación con las publicaciones internacionales acerca de las características poblacionales y del beneficio del tratamiento con capecitabina en este grupo de pacientes. Sin embargo, se encontró que, en este grupo de pacientes, en las cuales se analizaron la SG y SLP, fueron similares a estudios internacionales. Como una de las limitaciones importantes fue el no tener un grupo control al cual no se le indicara capecitabina como quimioterapia neoadyuvante.

5. Conclusiones

Con capecitabina adyuvante en pacientes con cáncer de mama triple negativo con enfermedad residual postneoadyuvancia se observaron resultados favorables, particularmente, en aquellas pacientes postmenopáusicas y con menor tamaño tumoral previo, independiente del RCB, ya que estas presentaron mejor SLP y SG. Se necesitan estudios que comparen a las pacientes que recibieron capecitabina adyuvante con otras que no hayan recibido otro esquema.